※ 주재걸 교수님의 인공지능을 위한 선형대수 강좌를 기반으로 작성되었습니다
선형결합 (Linear Combinations)
주어진 벡터 in 와 스칼라 에 대해
를 의 coefficients 와의 linear combiation이라 한다.
•
coefficients는 weights라고 할 수도 있으며, 스칼라값이다. zero를 포함한 모든 실수가 가능하다.
•
coefficients가 스칼라값이기에 선형결합의 결과도
matrix equation을 vector equation으로 표현하기
personID | weight (kg) | height (ft) | is_smoking | life-span (year) |
1 | 60 | 5.5 | 1 | 66 |
2 | 65 | 5.0 | 0 | 74 |
3 | 55 | 6.0 | 1 | 78 |
는 matrix equation 이다.
이는 vector equation (벡터방정식)으로 변환될 수 있다
⇒
이는 다음과 같은 선형결합의 형태로 볼 수 있다
이 vector equation을 고려했을 때 의 해는 언제 존재한다고 할 수 있을까?
Span
이 내용에 대해서는 이전 글에서 다뤘다
•
간단히 말해 span은 n차원의 유한한 벡터 p개가 주어졌을 떄 이 벡터들의 선형집합으로 만들어지는 공간
•
의 형태로 나타낼 수 있는 모든 벡터들의 모임
•
따라서 span은 n차원 공간의 부분집합이 된다
이전에 다룬 내용이기에 이정도만 설명한다
Vector Equation의 Geometric Interpretation
해가 존재한다 = 의 선형결합으로 를 구할 수 있다 = 가 에 속해야 해가 존재한다.
과 만 주어진 상황으로 단순화 했을 때
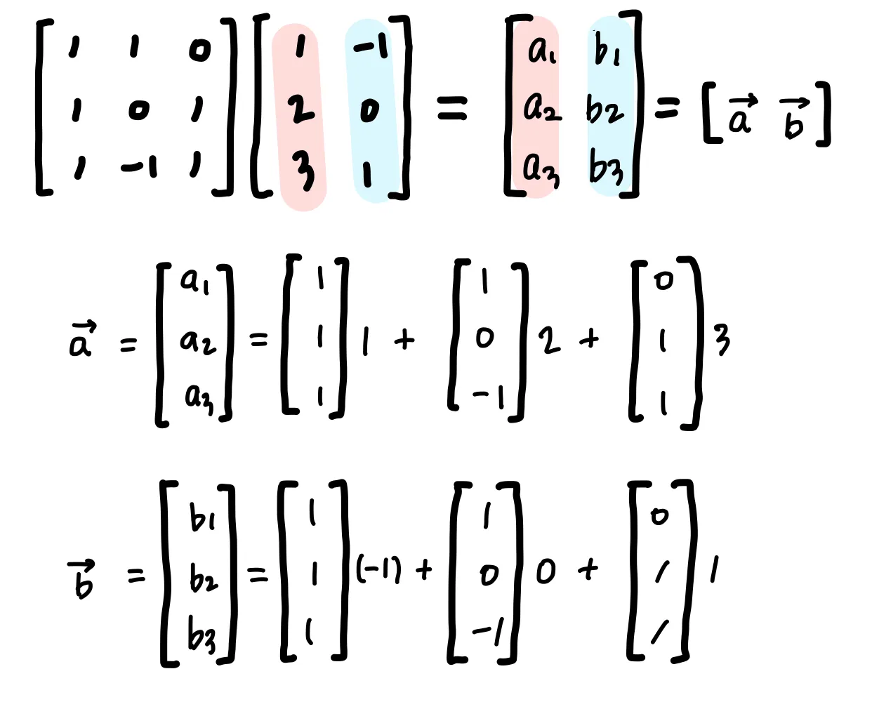
Matrix Equation을 vector의 선형결합으로 살펴보기
행렬과 행렬의 곱을 앞의 행렬의 row와 뒤의 행렬의 column의 inner product로 정의했었다.
1. 왼쪽 행렬의 columns의 선형결합이라 할 수 있다.
2. 오른쪽 행렬의 row의 선형결합이라 할 수 있다.
3. Sum of (Rank-1) Outer Products라 할 수 있다.
이 방식이 머신러닝과 가장 가까운 해석이라고 볼 수 있다.
word2vec, PCA, singular value decomposition 등에서 이러한 관점이 사용된다.
•
covariance matrix in multivariate guassian
•
gram matrix in style transfer
⇒ 근사적 표현으로 유용한 역할을 하는 벡터들을 찾을 수 있다.






